Carbocation Rearrangements and Product Distributions in Friedel-Crafts Alkylation of p-Xylene
Abstract:
This experiment examined the Friedel-Crafts alkylation of p-xylene with 1-chloropropane using AlCl3 catalyst to study electrophilic aromatic substitution and carbocation rearrangements. The reaction yielded two isomeric products identified by GC/MS: 1,4-dimethyl-2-propylbenzene (119.1 amu) and 2-isopropyl-1,4-dimethylbenzene (133.1 amu). Minor peaks at 161.2 and 175.2 amu revealed disubstituted byproducts, which suggests continued ring reactivity due to methyl group activation. The products eluted in boiling point order, with the lower-boiling isopropyl isomer with a boiling point of 196.2°C preceding the linear propyl analog whose boiling point is 204°C. The major limitation was that quantitative ratios could not be determined without peak areas. Nonetheless, it was determined that there was successful monoalkylation with rearrangement, electronic effects governed regioselectivity, and over-alkylation was observed despite steric constraints. These results align with the mechanistic principles of Friedel-Crafts reactions, including carbocation stability and substituent-directed reactivity in aromatic systems.
Introduction
Electrophilic aromatic substitution (EAS) reactions represent one of the most important reaction classes in organic chemistry, allowing for the functionalization of aromatic rings. They involve the replacement of a hydrogen atom on an aromatic ring using an electrophile while preserving the aromatic π‐system. These reactions are facilitated by the π electron clouds of aromatic rings, which make them suitable recipients of electrophilic agents.1 The resonance stabilization of aromatic compounds typically makes them resistant to nucleophilic attack, requiring highly reactive electrophiles to achieve substitution successfully. One of the most widely applied EAS reactions is the Friedel–Crafts alkylation, which installs alkyl groups onto aromatic substrates using an alkyl halide and a strong Lewis acid, typically aluminum chloride (AlCl3). In this experiment, p-xylene is alkylated with 1-chloropropane under AlCl3 catalysis to explore both regiochemical outcomes and carbocation rearrangements.
This reaction proceeds through a three-step mechanism. It starts with AlCl3 coordinating to the chlorine of 1-chloropropane, promoting heterolytic cleavage and formation of a primary propyl carbocation paired with AlCl4-. Since primary carbocations are energetically unfavorable, a 1,2-hydride shift occurs to yield the more stable secondary isopropyl carbocation as shown in Figure 1 below. This rearranged electrophile, along with any remaining primary carbocation, attacks the activated aromatic ring of p-xylene at one of its two equivalent ortho positions relative to the methyl substituent, disrupting aromaticity and generating a σ-complex (arenium ion). The final step is the restoration of aromaticity, which involves the loss of a proton to restore resonance stabilization.

Figure 1 Reaction mechanism illustrating (a) AlCl3 activation of 1-chloropropane, (b) formation of the primary propyl cation and its hydride shift to the secondary isopropyl cation
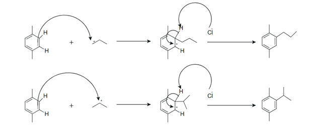
Due to the rearrangement of the electrophile, electrophilic aromatic substitution on a ring that contains a substituent results in isomeric products. For this experiment, two possible monosubstituted products are obtained: 1,4-dimethyl-2-propylbenzene and 2-isopropyl-1,4-dimethylbenzene, which result from rearrangement as shown in Figures 2 and 3 below. Methyl groups donate electron density through hyperconjugation and inductive effects, making the ring more nucleophilic and accelerating the reaction. The existing substituents influence where electrophilic attack occurs, leading to regioselectivity. The first group of substituents is the ortho-/para-directing group. These are electron-donating groups such as CH3, OH, and NH2, which activate the ring and push electron density toward the ortho (1,2) and para (1,4) positions.2 As such, the two methyl groups on p-xylene are strong activators, favoring substitution at these locations. The second group is the meta-directing groups, which are electron-withdrawing groups such as NO2, CN, and CF3. These groups pull electron density away from the ring, favoring substitution at the meta (1,3) position.2 Since p-xylene contains electron-donating methyl groups, meta-substitution is unlikely for this experiment.

Figure 2 Reaction mechanism illustrating electrophilic attack on p-xylene by the primary propyl cation and stable isopropyl cation

Figure 3 The Reaction Products: 1,4-dimethyl-2-propylbenzene and 2-isopropyl-1,4-diimethylbenzene
The goal of this experiment was to observe the mechanism and product distribution of a Friedel-Crafts alkylation involving potential carbocation rearrangements. In line with this objective, p-Xylene was combined with AlCl3, followed by the slow addition of 1-chloropropane before the workup and analyses using GC/MS to identify the products based on their characteristic mass fragments. The reaction was performed under anhydrous conditions to prevent catalyst decomposition.
Experimental
A 25-mL round-bottom flask with a stir bar was added 3.7 mL (3.19 g, 0.030 mol) of p-xylene. A Claisen adapter was attached to the flask, with a rubber septum fitted to the straight arm and a drying tube containing CaCl2 connected to the curved arm. Afterward, 0.20g (0.0015 mol) of anhydrous AlCl3 was quickly weighed and added to the flask to minimize exposure to atmospheric moisture. The mixture was stirred, and 0.14 mL (0.118 g, 0.0015 mol) of 1-chloropropane was added using a syringe through the septum. This was done for 2 hours, during which the solution transitioned from the initial yellow to orange.
For workup, 4 mL of water was added to quench residual catalyst before transferring the mixture to a receiving flask. The aqueous layer was then removed via pipette, and the organic layer was washed sequentially with approximately 3 mL of 5% NaHCO3 and about 3 mL of water. The organic phase was dried over Na2SO4, decanted into a clean vial, and stored for GC/MS analysis. The total mass of the crude product was 10.91 g, while the theoretical yield was determined to be 0.225 g (0.0015 mol) of dimethylpropylbenzene isomers.
GC/MS analysis was performed to identify the products, where the results showed early-eluting peaks at 91.1 amu, followed by 119.1 amu, then 133.1 amu, with later-eluting minor peaks at 161.2 amu and 175.2 amu. The tallest peak (91.1 amu) eluted first, while the rearranged product (133.1 amu) appeared after the non-rearranged isomer (119.1 amu). The highest-mass fragments (161.2 amu, 175.2 amu) eluted last. No significant peaks were observed beyond this range.
Results and Discussion
The GC/MS analysis of the crude product mixture revealed several distinct components. To start with, the prominent early-eluting peak at 91.1 amu, as shown in Appendix A below, was identified as unreacted p-xylene since it corresponds to the tropylium ion commonly observed in alkylbenzenes. In the mid-range of the chromatogram, two peaks were observed, each displaying a molecular ion at approximately m/z 148.1, as shown in appendices B and C, consistent with monosubstituted products of the Friedel–Crafts alkylation. This confirmed that they are constitutional isomers of the same molecular formula. One of these spectra exhibited a base fragment at m/z 119.1, as shown in appendix C while the other showed a dominant peak at m/z 133.1 as shown in appendix B. The observed mass fragments confirm the formation of both possible monosubstituted products. The peak at 119.1 amu represents the non-rearranged product (1,4-dimethyl-2-propylbenzene), formed through direct attack of the primary propyl cation. In contrast, the more intense peak at 133.1 amu corresponds to the rearranged product (2-isopropyl-1,4-dimethylbenzene), resulting from the more stable secondary isopropyl cation.
A minor later-eluting peak showed a molecular ion at m/z 175.2, as shown in appendix D below, indicating the presence of a disubstituted product, most likely dimethyldipropylbenzene, with a secondary fragment at m/z 161.2. However, no significant peaks were observed near m/z 232, suggesting negligible formation of tripropylated products. These result from further alkylation even after two new alkyl groups are added. This happens because alkyl groups are electron-donating substituents that activate the aromatic ring by increasing its electron density through both inductive and hyperconjugative effects. This enhanced nucleophilicity makes the ring more reactive toward subsequent electrophilic attacks.
Sample Content Hidden
To view the complete sample paper, place an order for a similar custom-written paper.
The literature boiling points of 1,4-dimethyl-2-propylbenzene and 2-isopropyl-1,4-dimethylbenzene are 204 °C and 196.2 °C, respectively. Due to its low boiling point, 2-isopropyl-1,4-dimethylbenzene is expected to elute first due to its volatility.3 The observations matched this expectation since the rearranged product was eluted at an average of 6.677 to 6.908 min while the non-rearranged product was eluted at 7.067 to 7.213 min.
The experiment successfully demonstrated the Friedel–Crafts alkylation mechanism, carbocation rearrangement, and the electronic and steric effects influencing aromatic substitution. The GC/MS data confirmed the formation of both isomeric monoalkylated products. However, the product ratio could not be determined quantitatively despite successfully identifying the characteristic fragments for the non-rearranged and rearranged products. This is because the peak area integration data was unavailable on the provided chromatogram. Nonetheless, the rearranged product is expected to be more abundant due to the preferential formation of the more stable secondary carbocation-derived isomer.
References
(1) Mąkosza, M. Electrophilic and Nucleophilic Aromatic Substitutions are Mechanistically Similar with Opposite Polarity. Chemistry - a European Journal 2020, 26 (67), 15346–15353. https://doi.org/10.1002/chem.202003770.
(2) Libretexts. Substitution reactions of benzene derivatives. Chemistry LibreTexts. https://chem.libretexts.org/Bookshelves/Organic_Chemistry/Supplemental_Modules_(Organic_Chemistry)/Arenes/Reactivity_of_Arenes/Substitution_Reactions_of_Benzene_Derivatives.
(3) Libretexts. 12.4: Gas chromatography. Chemistry LibreTexts. https://chem.libretexts.org/Bookshelves/Analytical_Chemistry/Analytical_Chemistry_2.1_(Harvey)/12%3A_Chromatographic_and_Electrophoretic_Methods/12.04%3A_Gas_Chromatography.
Sample Content Hidden
To view the complete sample paper, place an order for a similar custom-written paper.